JavaScript seems to be disabled in your browser. For the best experience on our site, be sure to turn on Javascript in your browser.
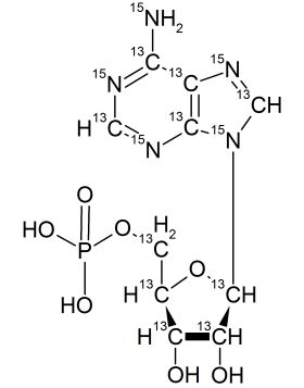
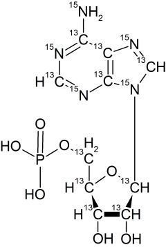
Adenosine 5'-Monophosphate Amp-13C10,15N5