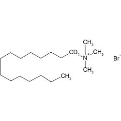
Cetyltrimethylammonium bromide alpha-d2 (CTAB, alpha-d2)
Code
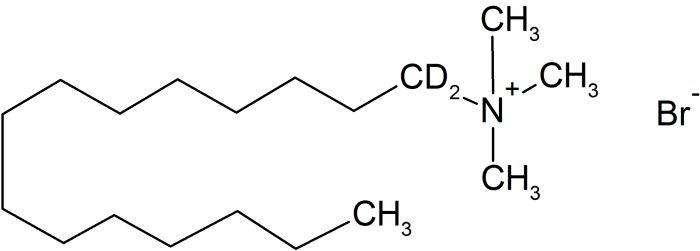
CD1196P
• CTAB α-d2
• Deuteration: 98 %
• Chemical purity > 99 %
• Deuteration: 98 %
• Chemical purity > 99 %
• TLC and NMR spectra are supplied with the sample
• Product has been tested for the preparation of NMR sample of membrane proteins.
• Product has been tested for the preparation of NMR sample of membrane proteins.
Cetyltrimethylammonium bromide alpha-d2 (CTAB, alpha-d2)







































