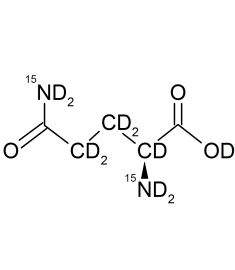
Glycine-15N-d5

Code
CDN1070P
98%15N
D215NCD2CO2D
Glycine-15N-d5