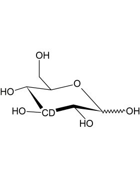
D-Glucose-1-d1
 Code 
CD852P
98% D
CAS number: 106032-61-5
HOCH2(CHOH)4CDO
HOCH2(CHOH)4CDO
D-Glucose-1-d1
  
  D2O & H2O18 Recycling Program
D2O & H2O18 Recycling Program Deuterated Solvents
Deuterated Solvents Cell-Free Protein Expression
Cell-Free Protein Expression NMR Consumables
NMR Consumables Stable Isotopes for NMR & MS
Stable Isotopes for NMR & MS Structural Biology
Structural Biology Material Science
Material Science Metabolomics & Proteomics
Metabolomics & Proteomics Organic Chemistry
Organic Chemistry Stable Isotopes for Electronics
Stable Isotopes for Electronics Stable Isotopes for Pharmaceuticals
Stable Isotopes for Pharmaceuticals Nuclear Medicine & Imaging
Nuclear Medicine & Imaging S&P Products
S&P Products Isotopic Gases & Metals
Isotopic Gases & Metals 
 