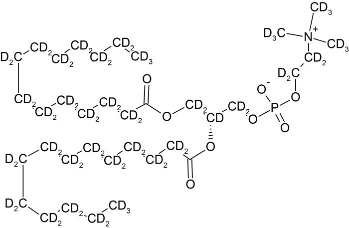
1,2-Dimyristoyl-Rac-Glycero-3-Phosphocholine-d72

Code
CD538P
98% D
C36D72NO8P · H2O
1,2-Dimyristoyl-Rac-Glycero-3-Phosphocholine-d72