JavaScript seems to be disabled in your browser. For the best experience on our site, be sure to turn on Javascript in your browser.
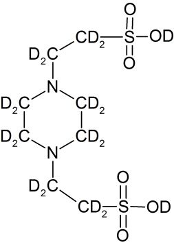
Bis-Tris-D19
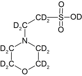
Pipes-D18
Mes-D13
Hepes-D18