JavaScript seems to be disabled in your browser. For the best experience on our site, be sure to turn on Javascript in your browser.
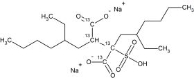
Sodium Bis(2-Ethylhexyl)Sulfo(Succinate-13C4)