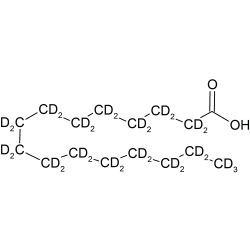
Palmitic Acid-d31

Code
CD2182P
99% D
CAS number: 39756-30-4
CD3(CD2)14COOH
Palmitic Acid-d31