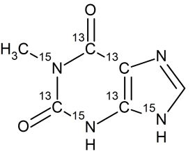
7-Methylxanthine-2,4,5,6-13C4,1,3-15N2
Code
CCN6351P
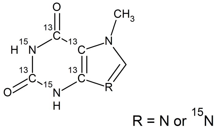
• Partial 15N Labeling At N9
• 99% 13C, 98% 15N (Based On 15N2), 98% CP
• 99% 13C, 98% 15N (Based On 15N2), 98% CP
13C4C2H615N2N2O2
7-Methylxanthine-2,4,5,6-13C4,1,3-15N2
Structural Biology
Material Science
Metabolomics & Proteomics
Organic Chemistry
