JavaScript seems to be disabled in your browser. For the best experience on our site, be sure to turn on Javascript in your browser.
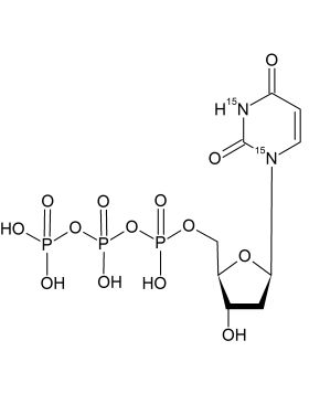
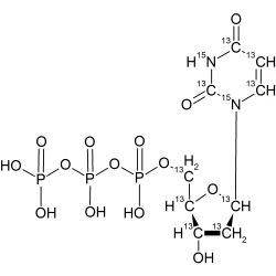
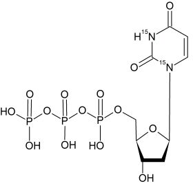
Thymidine 5'-Triphosphate Ttp-15N2