JavaScript seems to be disabled in your browser. For the best experience on our site, be sure to turn on Javascript in your browser.
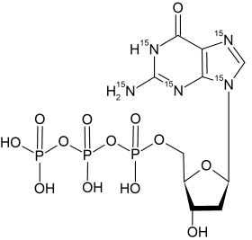
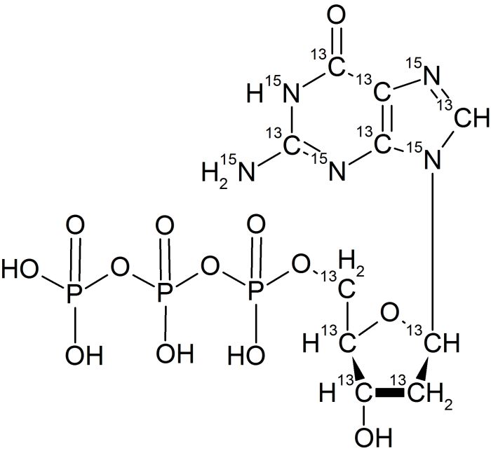
2'-Deoxyguanosine 5'-Triphosphate Dgtp-15N5