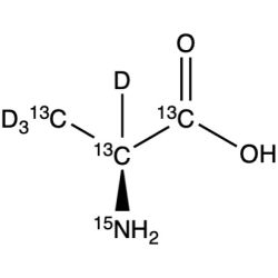
L-Alanine-13C3, 15N, 2,3,3,3-d4

Code
CCDN55P01
• 100 mg • 99% 13C, 98% D, 98% 15N
• 95% CP
13CD313CD(15NH2)13CO2H
L-Alanine-13C3, 15N, 2,3,3,3-d4