JavaScript seems to be disabled in your browser. For the best experience on our site, be sure to turn on Javascript in your browser.
2-Keto-3-Methylbutyric Acid-3-d
2-Keto-3-(Methyl-13C,d2)-Butyric Acid-4-13C, -d2
2-Keto-3-(Methyl-13C)-Butyric Acid-4-13C, 3-d1
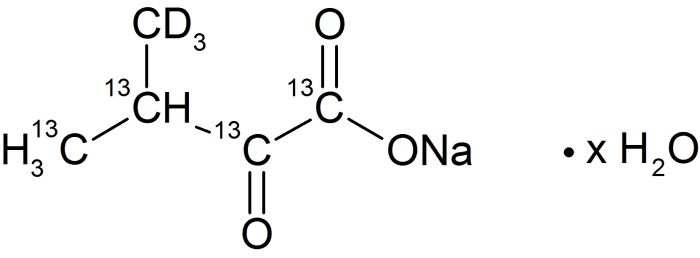
2-Keto-3-(Methyl-d3)-Butyric Acid-1,2,3,4-13C4, 3-d1
2-Keto-3-(Methyl-d3)-Butyric Acid-4-13C
2-Keto-3-Methylbutyric Acid-13C5, 3-d1
2-Keto-3-(Methyl-13C)-Butyric Acid-4-13C