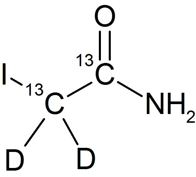
Iodoacetamide-13C2,2-d2

Code
CCD1205P
• 99%13C
• 98% D
I13CD213CONH2
Iodoacetamide-13C2,2-d2