JavaScript seems to be disabled in your browser. For the best experience on our site, be sure to turn on Javascript in your browser.
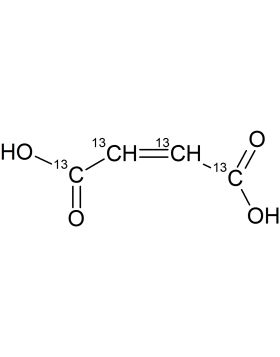
Fumaric Acid-2,3-13C2
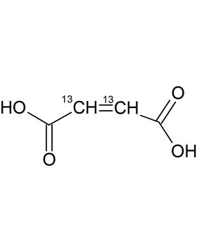
Fumaric Acid-13C4
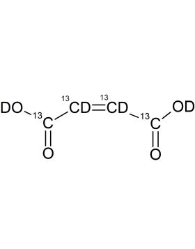
Fumaric Acid-13C4,-d4