JavaScript seems to be disabled in your browser. For the best experience on our site, be sure to turn on Javascript in your browser.
Guanosine-5'-Triphosphate, Gtp-8-D, 1',2',3',4',5',5'-D6
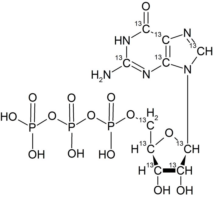
Guanosine 5'-Triphosphate Gtp-13C10,15N5
Guanosine 5'-Triphosphate Gtp-15N5