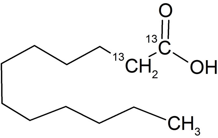
Lauric Acid -1,2-13C2

Code
CC593P
99% 13C
CAS number: 287111-19-7
CH3(CH2)913CH213COOH
Lauric Acid -1,2-13C2