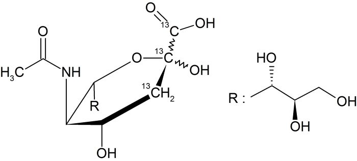
N-Acetyl-D-Neuraminic Acid-1,2,3-13C3

Code
CC3985P01
• 99% 3C
• 100 mg
13C3C8H19NO9
N-Acetyl-D-Neuraminic Acid-1,2,3-13C3