JavaScript seems to be disabled in your browser. For the best experience on our site, be sure to turn on Javascript in your browser.
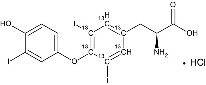
3,3′,5′-Triiodothyronine-Diiodophenyl-13C6 Hydrochloride