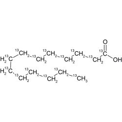
Myristic Acid 13C14

Code
CC3877P
99% 13C
13CH3(13CH2)1213COOH
Myristic Acid 13C14