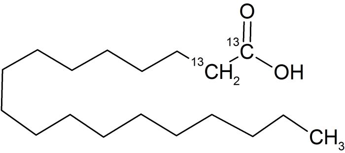
Stearic Acid-1,2-13C2

Code
CC3802P1
• 99% 13C
• 1 g
CAS number: 287100-86-1
CH3(CH2)1513CH213COOH
Stearic Acid-1,2-13C2