JavaScript seems to be disabled in your browser. For the best experience on our site, be sure to turn on Javascript in your browser.
Sodium L-Lactate-3,3,3-d3
Sodium L-Lactate-2-d
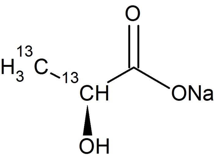
Sodium L-Lactate-13C3 Solution, 500 mg