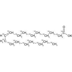
Potassium Oleate-13C18

Code
CC2432P
99% 13C
13CH3(13CH2)713CH=13CH(13CH2)713COOK
Potassium Oleate-13C18