JavaScript seems to be disabled in your browser. For the best experience on our site, be sure to turn on Javascript in your browser.
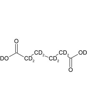
Adipic Acid-d10
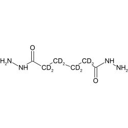
Adipic Acid-1,6-13C2