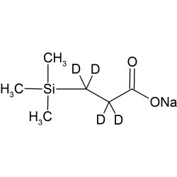
3-(Trimethylsilyl)propionic-2,2,3,3-d4 Acid Sodium Salt
Code
CD1215P
98% D
CAS number: 24493-21-8
(CH3)3SiCD2CD2CO2Na
(CH3)3SiCD2CD2CO2Na
3-(Trimethylsilyl)propionic-2,2,3,3-d4 Acid Sodium Salt
Structural Biology
Material Science
Metabolomics & Proteomics
Organic Chemistry
