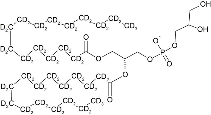
1,2-dipalmitoyl-d62-sn-glycero-3-phosphoglycerol (16:0 DPPG-d62)
Code
CD5023P025
• DPPG, Deuterated on both acyl chains
• 250 mg
• Deuteration: 98 %
• Chemical purity > 99 %
• 100mg
• 250 mg
• Deuteration: 98 %
• Chemical purity > 99 %
• 100mg
• TLC and NMR spectra are supplied with the sample
• Product has been tested for the preparation of NMR sample of membrane proteins.
• Product has been tested for the preparation of NMR sample of membrane proteins.
1,2-dipalmitoyl-d62-sn-glycero-3-phosphoglycerol (16:0 DPPG-d62)







































