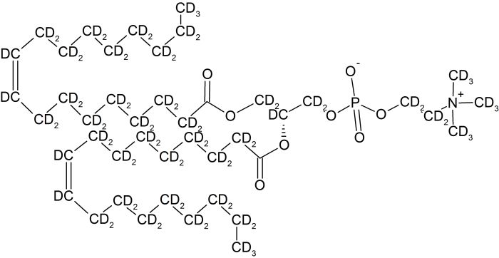
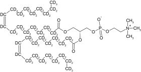
1,2-dioleoyl-sn-glycero-3-phosphocholine-d76 (18:1 DOPC-d76)
 Code 
CD5094P
DOPC, Perdeuterated
• TLC and NMR spectra are supplied with the sample 
• Product has been tested for the preparation of NMR sample of membrane proteins.
• Product has been tested for the preparation of NMR sample of membrane proteins.
1,2-dioleoyl-sn-glycero-3-phosphocholine-d76 (18:1 DOPC-d76)
 
 







































