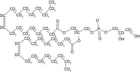
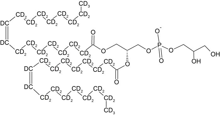
1,2-dioleoyl-d66-sn-glycero-3-phosphoglycerol (18:1 DOPG-d66)
Code
CD5096P
• DOPG, Deuterated on both acyl chains
• Deuteration: 98 % (except alpha protons that are Deuterated at 50 %)
• Chemical purity > 99 %
• Deuteration: 98 % (except alpha protons that are Deuterated at 50 %)
• Chemical purity > 99 %
• TLC and NMR spectra are supplied with the sample
• Product has been tested for the preparation of NMR sample of membrane proteins.
• Product has been tested for the preparation of NMR sample of membrane proteins.
1,2-dioleoyl-d66-sn-glycero-3-phosphoglycerol (18:1 DOPG-d66)








































