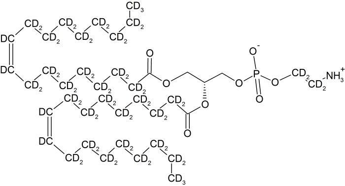
1,2-dioleoyl-d66-sn-glycero-3-phosphoethanolamine-d4 (18:1 DOPE-d70)
Code
CD5098P
• DOPE, Deuterated on both acyl chains and ethanolamine
• Deuteration: 98 % (except alpha protons that are Deuterated at 50 %)
• Chemical purity > 99 %
• Deuteration: 98 % (except alpha protons that are Deuterated at 50 %)
• Chemical purity > 99 %
• TLC and NMR spectra are supplied with the sample
• Product has been tested for the preparation of NMR sample of membrane proteins.
• Product has been tested for the preparation of NMR sample of membrane proteins.
1,2-dioleoyl-d66-sn-glycero-3-phosphoethanolamine-d4 (18:1 DOPE-d70)







































