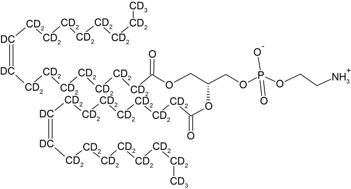
1,2-dioleoyl-d66-sn-glycero-3-phosphoethanolamine (18:1-d33-18:1-d33 DOPE)
Code
CD5076P
• DOPE, Deuterated on both acyl chains
• Deuteration: 98 % (except alpha protons that are Deuterated at 50 %)
• Chemical purity > 99 %
• Deuteration: 98 % (except alpha protons that are Deuterated at 50 %)
• Chemical purity > 99 %
• TLC and NMR spectra are supplied with the sample
• Product has been tested for the preparation of NMR sample of membrane proteins.
• Product has been tested for the preparation of NMR sample of membrane proteins.
1,2-dioleoyl-d66-sn-glycero-3-phosphoethanolamine (18:1-d33-18:1-d33 DOPE)







































