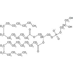
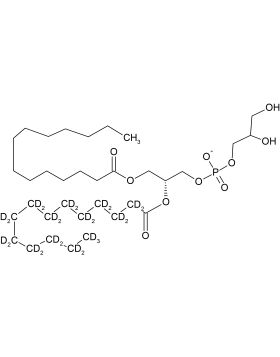
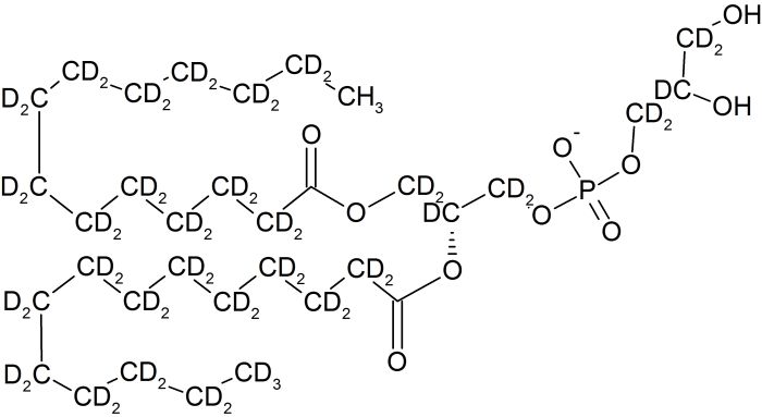
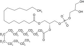
1,2-dimyristoyl-sn-glycero-3-phosphoglycerol-d72 (DMPG-d72)
Code
CD5054P
• DMPG, Perdeuterated
• TLC and NMR spectra are supplied with the sample
• Product has been tested for the preparation of NMR sample of membrane proteins.
• Product has been tested for the preparation of NMR sample of membrane proteins.
1,2-dimyristoyl-sn-glycero-3-phosphoglycerol-d72 (DMPG-d72)












































