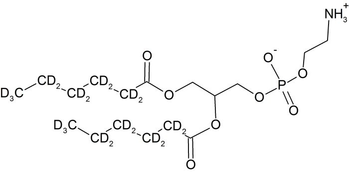
1,2-dihexanoyl-d22-sn-glycero-3-phosphoethanolamine (6:0 D6PE-d22)
Code
CD5061P025
• D6PE, Deuterated on both acyl chains
• 250 mg
• Deuteration: 98 %
• Chemical purity > 99 %
• 250 mg
• Deuteration: 98 %
• Chemical purity > 99 %
• TLC and NMR spectra are supplied with the sample
• Product has been tested for the preparation of NMR sample of membrane proteins.
• Product has been tested for the preparation of NMR sample of membrane proteins.
1,2-dihexanoyl-d22-sn-glycero-3-phosphoethanolamine (6:0 D6PE-d22)







































