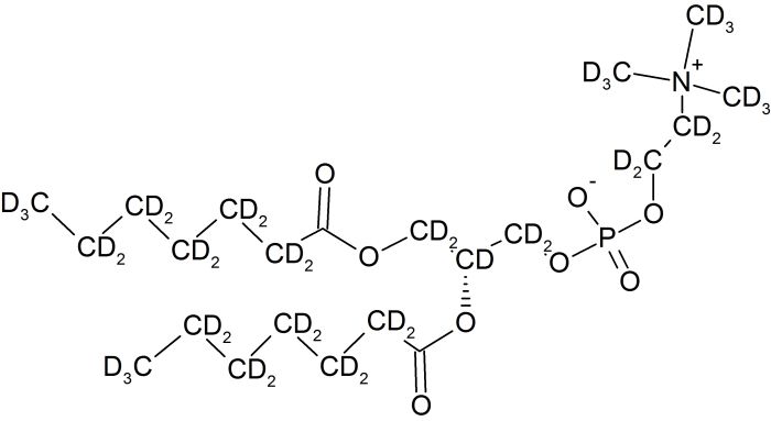
1,2-diheptanoyl-sn-glycero-3-phosphocholine-d44 (7:0 D7PC-d44)
Code
CD5028P
• D7PC, Perdeuterated
• TLC and NMR spectra are supplied with the sample
• Product has been tested for the preparation of NMR sample of membrane proteins.
• Product has been tested for the preparation of NMR sample of membrane proteins.
1,2-diheptanoyl-sn-glycero-3-phosphocholine-d44 (7:0 D7PC-d44)









































